上海崇明东滩海上明月-有哪些优势?
扫描到手机,新闻随时看
扫一扫,用手机看文章
更加方便分享给朋友
一、东滩.海上明月:购房流程解读!!!
东滩海上明月(备案名:陈家镇滨江生态国际社区)
崇明岛市面上的楼盘不少,其他知名开发商的项目也很多,为什么要选择——东滩海上明月
楼盘地址:上海市崇明区陈家镇揽海路3弄「东滩海上明月售楼处」
《东滩海上明月》购房政策解读!海上明月售楼处:400-997-8009
二、东滩.海上明月:交通规划及建设情况
地铁:轨道交通崇明线已于2019年12月开工,官宣2025年初建成并通车,未来地铁4站申江路换乘12号线,5站金吉路换乘9号线
高速:临近主干道,距离G40沪陕高速口3.5公里,40分钟即可抵达金桥、五角场,60分钟可到达人民广场
高铁:北沿江高铁2022年10月正式动工。以后崇明实现高铁全覆盖,成为连接上海和江苏的重要的交通枢纽,它会推动整个崇明的城市发展。
凭借一系列的交通利好,崇明岛陈家镇,完美实现了人民广场一小时内通勤圈
随着崇明岛世界级生态岛建设及崇明岛交通的不断完善,东滩海上明月将会成为上海最耀眼的璀璨豪宅。
东滩海上明月:400-997-8009《售楼处》
三、东滩.海上明月:商业配套
A.商业
距名岛生活广场约5公里车程,内含肯德基、电影院、银行、超市、农贸市场等。可以满足日常的生活需求。
B.教育(已交付的揽海路7弄对口学校是上海市实验学校东滩校区;本地块交付后,学区划分最终批准的方案为准)
幼儿园:
上海市东滩思南路幼儿园。全日制公办园,黄浦区教育局和崇明县教育局在陈家镇合作建设幼儿园由崇明县筹资新建,占地约20亩,建筑面积7200平方米,规模为16班。
中小学:
上海实验学校附属东滩学校。是一所隶属于崇明区教育局,由上海市实验学校委托管理的九年一贯制公立学校。学校硬件条件和校园环境一流,拥有可容纳1000人的艺术中心,以及体育馆、教学楼、宿舍楼、食堂、400米标准跑道、地下停车库等建筑单体和设施,所有建筑为英伦、北欧别墅风格。2021年初考,100%的高中升学率,好评不断。
C.医院
距陈家镇社区卫生服务中心约5公里。
距上海市第十人民医院崇明分院(二甲)约16公里。
新华医院
上海华山览海医疗中心。揽海路南侧规划建设,占地面积为50亩。项目以华山医院的管理模式,将配置国际一流的专家团队、医疗设施,集康复疗养、健康体检与度假休闲为一体。
D.酒店配套
小区包含5星级酒店《2028正式开业》
金茂凯越酒店-200米
由由喜来登酒店-280米
东滩湿地公园-约500公里
揽海高尔夫俱乐部-800米
崇明岛度假区
生态宜居,轨交落地,国际级科教,高规格、高潜力的产业聚集, 陈家镇 也 正以 上海的速度, 崭新的面貌吸引众多精英人士的汇聚 , 未来潜力无限。
综上所述,东滩海上明月是崇明岛板块、名校旁,唯一在售总价280万起低密度别墅社区,这种位置+配套+价格的产品在上海已非常稀缺,买到是很幸运的。
四、东滩海上明月:社区详情
东滩海上明月和东滩花园是同一个小区,小区一期东滩花园,二期东滩海上明月,小编带您一起来了解一下本案的具体情况。
以“中部集中绿地”为界限,西半部分为一期“东滩花园”现已交付使用。东半部分为即将开盘的二期“东滩海上明月”,二期总计2600套别墅,明天首开308套
东滩海上明月小区容积率仅0.51,绿化率约50%,这种纯别墅、一半土地用来做绿化配套的社区,东滩海上明月独一份,堪称“熊猫级”的存在。要知道,即便是容积率小于1的住宅,上海2023年至今也仅供应了104套!
海上明月首开308套别墅,150平的叠加别墅共计36套,其余均为95平叠加。
总高4层,电梯直达3F,这种电梯别墅社区,不止纯粹更为稀缺!
95平边套下叠
95平边套上叠
95平中间套下叠
95平中间套上叠
150平边套下叠
150平边套上叠
海上明月小区内有380亩果岭景观,相当于33个足球场,专属于业主的高尔夫时光,以经实景呈现的奢侈!
东滩海上明月不但拥有专属业主的高尔夫时光,还有约5万方水域景观、约11万方的半岛郊野公园,这一切不在别处,就在社区内部!已建成的运动公园,设置了篮球、羽毛球等球类运动场地,也配置了老年人和儿童专属的活动区域。
除此之外,东滩海上明月还拥有3000平米的主题会所,餐厅、鹭鸣超市、游泳池、健身房、早教中心、书吧一应俱全,可以说是具备了“宅度假”的一切条件。
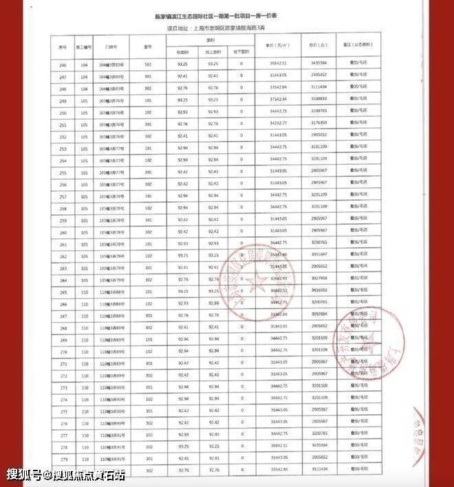
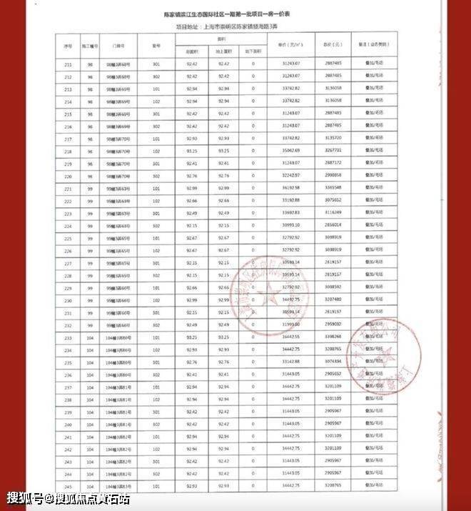
五、东滩海上明月:备案价
声明:本文由入驻焦点开放平台的作者撰写,除焦点官方账号外,观点仅代表作者本人,不代表焦点立场。
